AK Learning Nepal

  Thursday 16 October 2025 / 01:43 PM


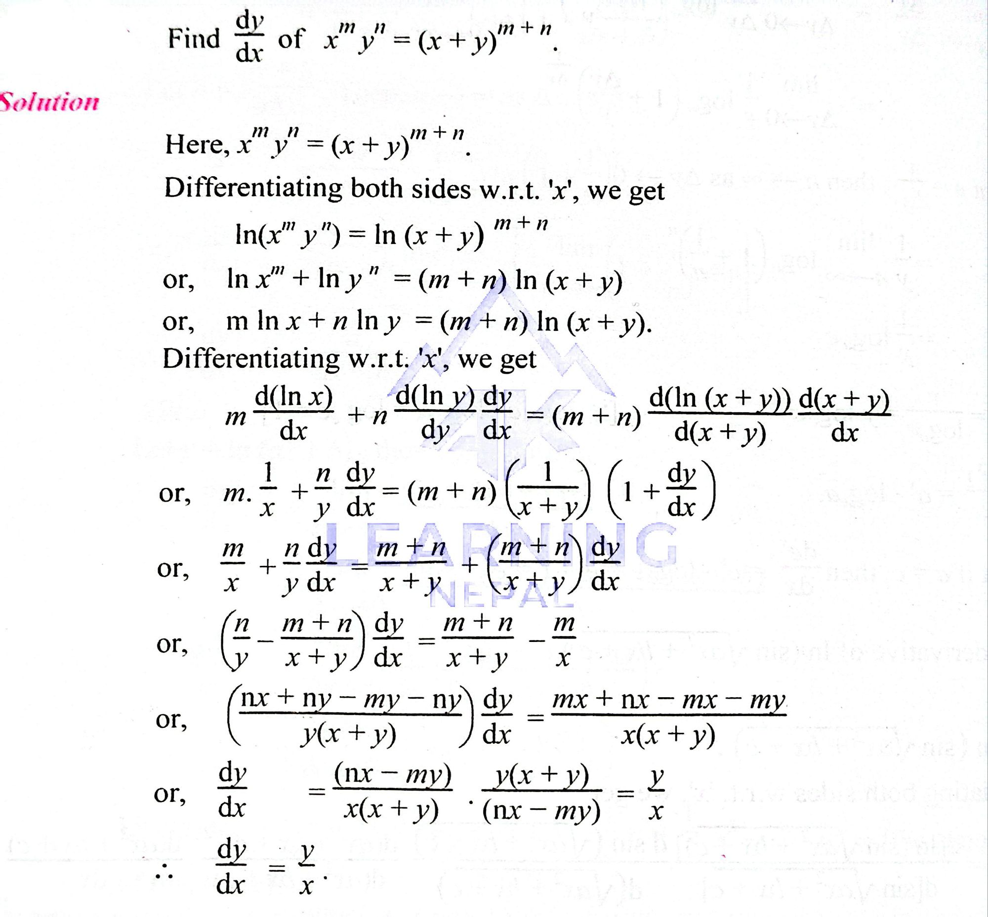
Find Derivative d(y)/dx of xmyn = (x + y)(m+n)

In this problem, we find the derivative of xmyn = (x + y)(m+n)
with respect to x. Since both x and y are involved, we use logarithmic and implicit differentiation.

derivative of x^m y^n = (x + y)^(m+n)

Given Equation

xmyn = (x + y)(m + n)

Step 1: Take Logarithm on Both Sides

Taking log on both sides:

log(xmyn) = log[(x + y)(m+n)]

Using log laws:

m log x + n log y = (m + n) log(x + y)

Step 2: Differentiate with Respect to x

Differentiating both sides:

m(1/x) + n(1/y)(dy/dx) = (m + n)(1/(x + y))(1 + dy/dx)

Step 3: Solve for dy/dx

Rearranging terms and solving for dy/dx, we get:

dy/dx =

[ (m + n)y − n(x + y) ] / [ (m + n)x − m(x + y) ]

Note:

Logarithmic differentiation is especially useful when variables appear as powers and products.

🔎
Search this topic on Google

Find Derivative d(y)/dx of xmyn = (x + y)(m+n)

Keywords

derivative of x^m y^n = (x + y)^(m+n), logarithmic differentiation, implicit differentiation, dy/dx, calculus, Class 11 math, Class 12 math, differentiation problems, exam calculus, math notes

Tags

calculus, derivative, logarithmic differentiation, implicit differentiation, Class 11, Class 12, math notes, exam question, differentiation, aklearningnepal, education,Find Derivative d(y)/dx of xmyn = (x + y)(m+n)


📘 Latest Related Questions

  1. Class 12 NEB Account Set A Solution 2083 |
  2. NEB Model Question (Set A) Accounting Question 22 Solution | The opening and closing balance of inventories are as below:
  3. NEB Model Question (Set A) Accounting Question 21 Solution | The Balance Sheet of a company on 31st December were given below:
  4. NEB Model Question (Set A) Accounting Question 20 Solution | The following Trial Balance of a company as on 31st Chaitra last year is given below:
  5. NEB Model Question (Set A) Accounting Question 19 Solution | Explain the features of accounting software.
  6. NEB Model Question (Set A) Accounting Question 18 Solution | The time allowed to produce 80 units of output is 2 hours. A worker produced 400 units during the month. Wages rate per hour is Rs. 800. Find the wages of the worker.
  7. NEB Model Question (Set A) Accounting Question 17 Solution | State the meaning of material classification with suitable examples.
  8. NEB Model Question (Set A) Accounting Question 15 Solution | The Trial Balance of a Company Ltd. as on 31st Chaitra last year is given below:
  9. NEB Model Question (Set A) Accounting Question 16 Solution | Differentiate between cost accounting and financial accounting.
  10. NEB Model Question (Set A) Accounting Question 14 Solution | Following information was taken from a company as on 31st Ashad, last year:
  11. NEB Model Question (Set A) Accounting Question 12 Solution | A Company Ltd. invited applications for 30,000 shares of Rs. 100 each at 10% premium. Payment: Application Rs. 30, Allotment Rs. 40, First & Final Call Rs. 40. Received 42,000 applications. Allotment: 25,000 full, 10,000 50%, 7,000 rejected. Excess money adjusted with allotment. Call money on 200 shares not received.
  12. NEB Model Question (Set A) Accounting Question 13 Solution | A company purchased the following assets at an agreed price of Rs. 1,100,000: Plant Rs. 520,000, Land and Building Rs. 730,000. The company paid the agreed price by issuing shares of Rs. 100 each at 20% discount. Required: Entries for purchase of assets and issue of shares.
  13. NEB
  14. Class 12 Old Is Gold 2083 App
  15. Class 11 Old Is Gold 2083 App
  16. Class 12 Nepali Old is Gold Set 1 Solution 2083 | NEB Exam Guide
  17. Class 10 OCE Social Studies Model Question Solution | SEE Social Studies 1 Sets Model Question Solution 2082
  18. Class 10 OCE Science Model Question Solution | SEE Science 3 Sets Model Question Solution2082
  19. Class 10 OCE Math Model Question Solution | SEE Math 3 Sets Model Question Solution
  20. mm

Find Derivative d(y)/dx of xmyn = (x + y)(m+n)

Leave a Reply

Scroll to Top